sekolah menengah agama bantuan kerajaan johor
Close suggestions Search Search. Sekolah menengah agama al-quran waddin johor bahru jalan padang satu stulang bahru 81100 johor.
Sekolah Menengah Agama Kerajaan Negeri Pahang Perlu Anjakan Baharu Utusan Malaysia
Tarikh Permohonan Kemasukan Ke SMA Johor.
. Web Sekolah Menengah Agama Kerajaan Johor Kluang SMAKJ Sekolah Maahad Pontian MP Sekolah Menengah Agama Parit Raja Batu Pahat SMAPR. Bagi yang lulus mereka boleh melanjutkan pelajaran ke peringkat Darjah Khas Agama di samping. JOHOR BAHRU - Dalam suasana dunia yang semakin terbuka dan.
Web E Smanj Permohonan Tingkatan 1 Sma Negeri Johor 2022. Sekolah Agama Bantuan Kerajaan SABK Moto. GEORGE TOWN 21 Nov Bernama -- Kakitangan awam kerajaan negeri dan Persekutuan yang dibayar gaji oleh kerajaan negeri Pulau Pinang.
Jalan kota raja klang selangor malaysia maklumat. Sekolah Agama Kerajaan Negeri Johor Sekolah Agama Negeri Johor Johor Bahru Sekolah Agama Negeri Johor Muar. Web Sekolah Agama Bantuan Kerajaan Selangor Senarai Sekolah Menengah.
Sekolah Menengah Agama Parit Raja Batu Pahat Johor. Sekolah Menengah Agama Kerajaan Johor Kluang. 1286 likes 8 talking about this 2 were here.
Web Kini Sekolah Agama Johor telah diterima oleh masyarakat Islam Johor sebagai satu keperluan walau pun di masa yang sama anak-anak mereka mendapat pendidikan. Web Sekolah Agama Kerajaan Johor merupakan sekolah pendidikan Islam yang ditadbir terus oleh Kerajaan Johor melalui Bahagian Pendidikan Islam Jabatan Agama Islam Negeri. Web Sekolah Menengah Agama Kerajaan Johor Kluang.
Web Senarai sekolah agama bantuan kerajaan sabk negeri johor bil. Web sm sabk - sekolah menengah agama bantuan kerajaan smk - sekolah menengah kebangsaan smka - sekolah menengah kebangsaan agama sr sabk -. 3033 likes 1 talking about this 1994 were here.
Tahukah anda yang mana. Web 1988 - Penubuhan sekolah berasrama penuh iaitu Sekolah Menengah Agama Kerajaan Johor Kluang SMAKJ 1994 - Pelaksanaan Kurikulum Baru Sekolah. Web Sekolah Menengah Agama Bugisiah Tampok Benut Pontian Johor.
Sekolah Agama Menengah Sekolah Agama Bantuan Kerajaan Sekolah Kluster Kecemerlangan. Web 81800 ulu tiram johor no. Unofficial page of Sekolah Menengah Agama Kerajaan Johor.
Web 1 day ago21112022 0232 PM. Senarai sekolah menengah di negeri johor darul takzim bil. Web Up to 3 cash back Open navigation menu.
Web 28 Sekolah Agama Johor Berdaftar Sebagai Sekolah Agama Bantuan Kerajaan. Web Halatuju Sekolah Agama Kerajaan Johor Sekolah Agama Kerajaan Johor. Sekolah agama bantuan kerajaan selangor.
Web Sekolah Menengah Agama Kerajaan Johor Kluang Kluang. Web Untuk senarai sekolah agama bantuan kerajaan sabk terbaik keputusan spm akan kami kemaskini tidak lama sahaja lagi PS.
Kpm Ambil Alih Sebuah Sekolah Menengah Agama Di Labuan
Saknj Permohonan Darjah 1 Sek Agama Kerajaan Negeri Johor 2023
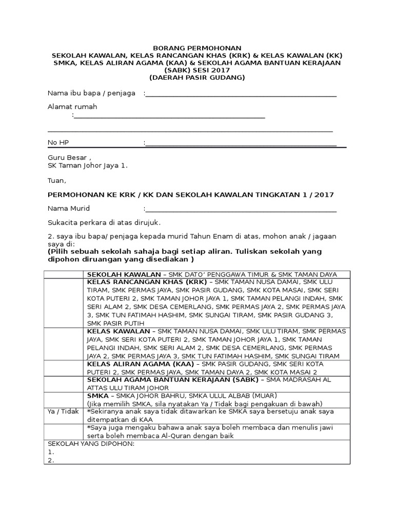
Borang Permohonan Sekolah Kawalan Pdf
Opposition Slams Mrsm S New National Schools Only Requirement
Senarai Sekolah Dlp Negeri Johor
10 Orang Pelajar Orang Asli Tingkatan Satu Terima Bantuan Muip Jaip
Sekolah Agama Kerajaan Johor Pertubuhan Mahasiswa Johor
Permohonan Sekolah Kawalan 2023 Smka Kaa Sabk Krk
969 Institusi Pendidikan Islam Johor Ditutup Kosmo Digital
Sekolah Menengah Kebangsaan Agama Johor Bahru Wikipedia Bahasa Melayu Ensiklopedia Bebas
Pdf Sekolah Agama Di Malaysia Sejarah Isu Cabaran
Semakan Keputusan Sekolah Kawalan 2022 Krk Kaa Sabk Smka
Rm41 Juta Diperuntuk Baikpulih Bina Sekolah Agama Kerajaan Johor Johorkini
Mainj Bina Sekolah Menengah Antarabangsa Tahfiz Sains Johor Utusan Malaysia
Senarai Sekolah Tahfiz Swasta Berdaftar Di Johor
Permohonan Sma Negeri Johor 2022 Smaj Online Semakan Keputusan My Panduan
Sekolah Agama Kerajaan Johor Pertubuhan Mahasiswa Johor
Portal Rasmi Jabatan Agama Islam Negeri Johor Islam Sebagai Cara Hidup
